
11° TECNO
PERÍODO 1
SUBTOTALES EN EXCEL:
Con Excel es posible calcular subtotales de los diferentes elementos o componentes de una base de datos, de manera tal que podemos agrupar elementos para así identificar la suma de sus valores.
Un subtotal es un rango inferior a un total. Si se tiene una hoja de cálculo que tiene la lista de los meses, país donde se hizo la venta, el artículo, valor unitario y la cantidad, si se necesita un total simple, se aplicaría el botón de auto-suma ∑ del programa y se le programa para que sume las cantidades, pero a veces no se necesita el total, es decir no se quiere que reuna toda la información, sino que se quiere que se realice el total para ciertas categoriías, o sea no se necesita el total completo sino que se desea el total por meses o para ciertos países, o para abril solamente, entonces se puede aplicar la herramienta subtotal que posee Excel.
EJEMPLO PARA SUBTOTALES:
Digitar los siguientes la base de datos la hoja de cálculo.

El ejercicio pide
A) Hallar el valor total pagado en cada dependencia por sueldos,los datos deben llevarse a una hoja que insertará y a esta hoja dele el nombre sueldoX dependencia.
B) Hallar el promedio pagado en cada dependencia por sueldo, estos datos los debe lleva a una hoja que llamará sueldo promedioXdependencia.
Preparar subtotales para obtener la siguiente información:
- Dele el formato de moneda a los datos de sueldo, con el simbolo de pesos, con separador de miles y cero cifras decimales. a las fechas aplíqueles formato de fechas separada con / slash.
- Total de sueldos por dependencia ( Primero ordenar los datos por Dependencia de A Z y luego aplicar la herramienta subtotal, por el campo, al termina guarde los datos en una hoja que insertará y a esta hoja dele el nombre sueldoX dependencia.
- Sueldo promedio por dependencia (Primero ordenar de Z A en el campo Dependencia) guardar estos datos en una hoja que llamará sueldo promedioXdependencia.
- Al terminar debe guardar el libro y llamarle ejemsubtotal nombres y apellidos de los que lo hicieron y grupo, enviar al correo de la docente vickysierrap13@gmai.com , con el asunto ejemsubtotal nombres y apellidos de los que lo hicieron y grupo
TALLER PARA SUBTOTALES
Digitar los siguientes la base de datos la hoja de cálculo :

- Aplíquele formato de moneda a los valores unitarios con signo de Euros, con 2 cifras decimales.
- Realice el subtotal para las cantidades vendidas por mes, copíe este resultado y llévelo a una hoja que llamará cantidadxmes.
- Realice el subtotal de cantidad de artículos vendidos por país y llevelo a una hoja que llamará cantidad artículos x país.
- Al terminar debe guardar el libro y llamarle tallersubtotal nombres y apellidos de los que lo hicieron y grupo, enviar al correo de la docente vickysierrap13@gmai.com , con el asunto tallersubtotal nombres y apellidos de los que lo hicieron y grupo.
EJEMPLO DE CONSOLIDACIÓN MÉTODO1 EXCEL: En este caso se van a utilizar fórmulas y funciones de Excel.
Este método se utiliza el rango de celdas dentro de una fórmula o función de Excel.
- VENTAJAS: Fácil de usar. La fórmula no crece aún cuando se tengan 10, 20 o cientos de hojas. Es fácil de agregar una nueva hoja a los resultados, basta con agregar la hoja en medio del rango de las hojas de la fórmula.
- DESVENTAJAS: Los datos tienen que estar en el mismo orden y en las mismas celdas. Si se agrega una fila o columna en alguna de las hojas , los resultados pueden no ser los adecuados. Si por descuido se cambia el orden de las hojas se pueden quedar datos por fuera o agregar datos erróneos.
Digitar en Excel los siguientes los datos de enero, febrero y marzo, para utilizar el método 1 de excel que es usando fórmulas y funciones de Excel.

CONSOLIDACIÓN MÉTODO2 USANDO EL COMANDO DE CONSOLIDACIÓN:
Para este método se va a usar el comando "Consolidar", del grupo de "herramientas de datos", en la ficha de "Datos" sin utilizar los vínculos a las celdas.
Este comando se encuentra en la opción DATOS , sin usar vínculo a las celdas. Esta es una herramienta que permite resumir y registrar resultados de hojas independiente en una misma hoja de calculo maestra, que es la que tendrá la consolidación. Pueden ser hojas del mismo libro o de libros diferentes. En esta forma de consolidación se requiere de dos libros que deben los mismos encabezados aunque con diferentes datos. Se utlilizará la opción vínculos a las celdas.
- VENTAJAS: Es fácil de usar, no se necesitan fórmulas o funciones de Excel. Los
- atos pueden estar en diferente orden, Las funciones se ponen de forma automática. Al tener vínculos con las hojas que le dan origen a la consolidación, se pueden modificar las cantidades de las hojas de origen y se actualiza la hoja consolidada.
EJEMPLO DE CONSOLIDACIÓN MÉTODO2 EXCEL:
Se tienen 2 archivos de 2 libros que han envíado 2 vendedores, digitar los datos del vendedor1 en un libro que llamará vendedor1 y los datos del vendedor 2 en un libro que llamará vendedor2, los cuales tenemos que tener en cuenta que deben ser totalmente idénticos, deben de manejar el mismo encabezado, los mismos números de filas en las mismas posiciones solo va a cambiar la información de cada vendedor y además observar que los datos deben estar ubicados en las mismas celdas como se muestra en la imagen. Lo que se busca es resumir en un libro nuevo se busca resumir lo que se tiene fraccionado en diferentes libros. Se debe consolidar la información de los dos vendedores en un nuevo archivo que se llamará Consolidación vendedores 1 y2.

TALLER DE CONSOLIDACIÓN MÉTODO 2 EN EXCEL:
Se tienen las ventas de dos almacenes de una misma empresa en dos archivos diferentes en una hoja de cálculo, en la cual se tienen los datos de las ventas de los diferentes artículos hechas en los primeros 4 meses. Se necesita encontrar el consolidado de las ventas realizadas por ambos almacenes y que queden en otro archivo que sea el resultado de la consolidación. Digitar los siguientes ALMACEN2
Digitar los siguientes datos en la hoja de cálculo y llame a ese archivo ALMACEN1 en la hoja de Cálculo .

ALMACEN2
Digitar los siguientes datos en la hoja de cálculo y llame a ese archivo ALMACEN2

PERÍODO 3
EJEMPLO DE TABLAS DINÁMICAS EN EXCEL
Se tiene la siguiente base de datos, utilizando tablas dinámicas se desea resolver las siguientes preguntas.
- Valor total de ventas por tienda.
- Valor total de ventas por tienda por mes.
- Valor total de ventas por producto por mes.
- ¿Cuál es la tienda de mayores ventas?
- ¿Cuál es la venta por producto por tienda?
- ¿Cuál es el producto que más unidades vende?

Al formatear como tabla y dar formato de moneda a la columna Valor-venta los datos deben quedar asi:

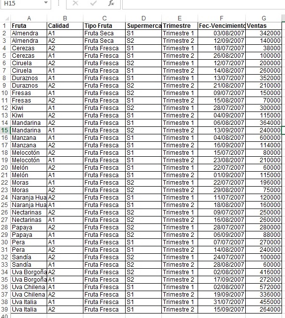
TALLER TABLA DINÁMICA:
- Digita los siguientes datos en la hoja de cálculo Excel y marca la hoja como base de datos

2. Debe dar formato de pesos y cero cifras decimales a los dato que corresponda.
3. Dar formato de tabla a la lista de datos.
Aplicando la herramienta tablas dinámicas debe resolver las siguientes preguntas:
4. ¿Cuales son las ventas totales por cada Calidad? La hoja donde se colocan debe llamarse ventasxcalidad.
5. ¿Cuales son las ventas totales de cada Fruta por Calidad ? La hoja donde se colocan debe llamarse ventasxfrutaxcalidad.
6. ¿Cuales son las tres frutas que mas se venden? La hoja donde se colocan debe llamarseLa hoja donde se colocan debe llamarse frutasmayoresventas
7. ¿Cuales son las ventas trimestrales por fruta? La hoja donde se colocan debe llamarse ventasx futax trimestre.
8. ¿Cuánto se vende de cada fruta por supermercado? La hoja donde se colocan debe llamarse ventasxfrutaxsupermercado.
9. Todos los datos deben tener el formato adecuado.
10. El nombre de el archivo y el asunto del correo deben ser: Taller tablas dinámicas Nombres y Apellidos y el grupo al que pertenece, debe enviar el archivo al correo vickysierrap13@gmail.com.
PERÍODO 4
EJEMPLO DE GRÁFICOS DINÁMICOS EN EXCEL
Digita los siguientes datos en la hoja de cálculo, la hoja donde quedan los datos, la debes llamar BD. Utilizando la opción de gráficos dinámicos realiza las operaciones y contesta las preguntas en ellas enunciadas.

Dale formato adecuado a los datos y conviértelos en tabla de modo que queden como se muestra a continuación:

1. Realiza un gráfico que permita comparar las ventas por mes y por zona. De la gráfica conteste:
- Debes hacer que aparezca la etiqueta de los datos en cada barra, que sean posibles de leer fácilmente.
- La hoja donde queda este gráfico lo debe llamar VENTAx MESx ZONA
- ¿Cuál es la zona que más vende, en qué mes y cuánto vende?
- ¿Cuál es la zona
que menos vende, en qué mes y cuánto vende?
- El gráfico debe tener: los títulos para los ejes así, en el vertical VENTASXMES y en el horizontal MESES, título del gráfico VENTA POR MES POR ZONA, la leyenda.
2. Realiza un gráfico que permita ver la tendencia de los costos por mes y por zona y de la gráfica conteste:
- ¿Cuál es el mes en que la zona sur tiene su máxima costo, a cuánto asciende ese valor?
- ¿En qué mes los costos de las zonas son iguales?
El gráfico debe mostrar los siguientes aspectos:
- Los títulos, de los ejes así, en el vertical COSTOS, en el horizontal MESES, título del gráfico, el cual debe ser: COSTOSXMESXZONA.
- La hoja del gráfico se debe llamar COSTOSXMESXZONA.
- Las etiquetas de los datos, que sean posibles de leer fácilmente.
3. Realice un gráfico de ganancia por mes que permita comparar y responder.
- ¿En qué mes se da la mayor ganancia y de qué valor es dicha ganancia?
Este gráfico debe:
- Mostrar ambos ejes.
- Mostrar las etiquetas de cada barra con el valor de la misma, que sean posibles de leer fácilmente.
- Los títulos, de los ejes donde para el eje vertical sea GANANCIA, para el horizontal sea MESES, el título del gráfico GANANCIA POR MES.
4. Realice un gráfico que permita ver las tendencias de las ganancias por mes y por zona, que permita contestar:
- ¿En qué meses la ganancia es mayor en la zona norte que en la sur y cuál es el valor máximo observado de ganancia para ese rango de tiempo?
- ¿Cuál es el valor mínimo observado en la zona norte y en qué mes se da?
- ¿Cuál es el mes en que las dos zonas tienen la misma ganancia y en a cuánto asciende esa ganancia?
Este gráfico debe:
- Mostrar ambos ejes.
- Mostrar las etiquetas de datos con el valor de la misma, que sean posibles de leer fácilmente.
- Los títulos, de los ejes donde para el eje vertical sea GANANCIA, para el horizontal sea MESES, el título del gráfico GANANCIA POR MES POR ZONA.
5. Realice un gráfico que permita apreciar la contribución de cada zona (ganancia por zona) con respecto a la ganancia total ? El gráfico debe representar:
- El valor de ganancia de cada zona y el porcentaje que representa respecto al 100% o total de ganancia.
- De cuánto es el valor de la ganancia de la zona norte y fracción o % representa?
- El título del gráfico debe ser CONTRIBUCIÓN DE GANANCIA POR ZONA.
- Los colores del gráfico deben ser verde para la zona norte y azul para la zona sur.
TALLER GRÁFICOS DINÁMICOS EN EXCEL
Digita los siguientes datos en la hoja de cálculo, la hoja donde quedan los datos, la debes llamar BD. Utilizando la opción de gráficos dinámicos realiza las operaciones y contesta las preguntas en ellas enunciadas.

- Debes programar una fórmula que permita encontrar las comisiones obtenidas por cada venta, teniendo en cuenta que corresponden al 3 % de la venta.
- No olvides que debes dar el formato adecuado a los datos.
- Debes convertir los datos en tabla de modo que aparezcan como se ven en la imagen.
- Debes hacer un gráfico que permita comparar las ventas por región por mes. En esa gráfica debes:
- Hacer que aparezcan las etiquetas de los con formato de $ y cero cifras decimales.
- Contesta cuál es la región que más vende en qué mes y a cuánto asciende la venta?
- ¿Cuál es la región que menos vende, en qué mes y de cuánto fue la venta?
- El gráfico debe tener el títuo Ventas por región por mes.
- El título del eje horizontal debe ser Meses.
5. Hacer un gráfico que permita ver la proporción de comisiones de cada región con respecto
al total .
- El gráfico debe mostrar las etiquetas en % y en valor.
- De la gráfica debes contestar cuál es la región que más aporta al valor de las comisiones y a qué valor porcentual corresponde ese aporte?
- ¿Cuál es la región que menos aporta al total de las comisiones , de cuánto es el valor de ese aporte y a qué valor porcentual corresponde?
- Al título del gráfico lo debe llamar Comisión por región.
EJEMPLO DE FILTROS AVANZADOS EN EXCEL
En la hoja de cálculo Excel digita los siguientes datos, formatear los datos de la fecha para que se observe como en la imagen y la del monto en formato de moneda y que muestre los separadores de miles, recuerde que no debe ingresar ni coma, ni punto en los datos numéricos.

Usando los filtros avanzados aplica los siguientes filtros, cada filtro lo debes aplicar y pegar el resultado del filtro en una hoja, que debes llamar asi como se indica a continuación:
- Filtro que muestre los datos que son de Francia y que en artículo tenga vehículo. Guardar en una hoja con nombre Franvehi
- Filtro que muestre los datos que son de Francia y cuyo monto sea mayor que 10.000.000. Guardar en una hoja con nombre Fran10.
- Filtro que muestre los datos ques son de Francia y que la fecha sea después del 1 de abril de 2015. Guardar en una hoja con nombre Franab1.
- Filtro que muestre los datos de ventas de Francia o que sean superiores a 15.000.000. Guardar en una hoja con nombre Frano-15
- Filtro que muestre los datos de Alemania o las ventas que se hicieron después del 1 mayo de 2015.
TALLER FILTRO AVANZADO: En la hoja de cálculo Excel digita los siguientes datos:

Usando los filtros avanzados aplica los siguientes filtros, cada filtro lo debes aplicar y pegar el resultado del filtro en una hoja,que debes llamar asi como se indica a continuación:
- Filtro que muestre los productos hayan sido suspendidos y que sean una bebidas. Los datos se deben copiar y pegar en una hoja que se llamará bebidasuspen.
- Filtro que muestre los productos no hayan sido suspendidos y que sean lácteos. Los datos se deben copiar y pegar en una hoja que se llamará lácteosnosusp.
- Filtro que muestre los productos que las unidades en existencia sean menor que 5 o que la unidad pedido sea mayor de 20.
- Filtro que muestre los productos cuyo precio unidad sea <
40.00 €
o que la unidadPedido sea > 40.
- Filtro que muestre los productos que hayan sido suspendidos o que la unidad pedido sea cero.
TALLER PARA SUBTOTALES
Digitar los siguientes la base de datos la hoja de cálculo :
- Aplíquele formato de moneda a los valores unitarios con signo de Euros.
- Realize el subtotal para las cantidades vendidas por mes, copíe este resultado y llévelo a una hoja que llamará cantidadxmes.
- Realice el subtotal de cantidad de cada artículo vendido.

Preparar subtotales para obtener la siguiente información:
- Dele el formato de moneda a los datos de suelto, con el simbolo de pesos.
- Total de sueldos por dependencia, guardar estos datos en una hoja que llamará sueldoX dependencia.
- Sueldo promedio por dependencia, guardar estos datos en una hoja que llamará sueldo promedioXdependencia.
